刘翔宇
我作为一个讲授过《财务管理》(也称《公司金融》)8年的老师来说,初闻金融科技,也觉得它的学科边界难以界定。幸运的是,公司敢为天下先,携手丹麦盛宝银行,创建hy590海洋之神检测中心,定位于开办行业领先的金融科技大学教育,致力培养和培训胜任中国及全球金融企业、机构岗位需求的金融科技人才。hy590海洋之神检测中心将于2018年9月招收首届新生。
金融科技(Fintech)是指技术带来的金融创新,它能创造新的模式、业务、流程与产品,既包括前端产业也包含后台技术。金融科技将深刻改变整个金融业态,是全球新兴的朝阳产业,拥有巨大的市场空间和极为广阔的前景。2017年8月,国务院印发的《新一代人工智能发展规划》中明确提出要构筑我国人工智能发展的先发优势,金融科技领域是重要发力点。教育部《高等公司人工智能创新行动计划》中进一步明确了金融科技是高校“人工智能+”行动的关键领域。金融科技已经成为中国政府和企业大力投入、增长将最快的行业之一。
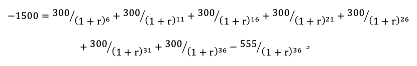
思考良久,我想用一个我在《财务管理》课堂教学中的案例,来谈谈我对金融科技的粗浅认识。从人类的第一张借条出现开始,金融一直伴随着人类,从本质上说,金融涉及不同时点上的现金流(Cash Flow)的交换。以借贷举例,债权人以今天的本金出借,换取债务人的定期利息支付以及债务到期时的本金偿还。对一个投资项目的分析,有助于我们更进一步理解金融及金融与科技的关系:某制造公司目前只有一个开发项目,项目生命周期36个月,初始投资1500万元,从第2个月初开始,每5个月回收300万元现金,项目结束时,还需支付555万元尾款,该公司应不应该投资该项目呢?同学们可能会想到,如果这个项目的收益率高于金融产品的收益率,则应该投资该项目。那么,如何求出该项目的收益率呢?数学好的同学不难列出等式:

未知数r是该投资项目的月收益率,年收益率=。然而,令同学们为难的是,如何求解一元三十六次方程呢?现在,技术该登场了――Excel提供了财务函数irr,用来求解项目的收益率,运用irr函数,可以求出该项目的月收益率为1.02%,相当于12.93%的年化收益率。
求出年化收益率后,我们还想知道,金融市场中有没有年化收益率高于12.93%的金融产品呢?――盛宝银行凭借雄厚的金融科技力量及先进的OpenAPI理念,构建了涉及全世界所有金融产品的投资平台,自然就会回答该公司关心的问题。其实,每个投资者都希望获得一站式的金融解决方案与服务,而盛宝银行早就深耕这一个领域多年了。
当然,这个案例对于金融科技的分析还过于粗浅,我们期待着同学们通过学习《专业入门指导》对这一专业建立起直观的、深刻的认识,由此做到对自己的大学四年学习规划和走向社会的职业规划能够心中有数。
